联系我们

手机:汪经理15802760502
邮箱:hezi027@qq.com
QQ:3212587206
地址:武汉市东西湖区创谷路20号科创中心22栋
相关文章
- 1变压器变比测试仪怎么选?2026行业选型避坑指南|赫兹电力实测靠谱
- 2直流高压发生器选型指南|主流品牌深度对比!赫兹电力凭硬核实力胜出
- 3电力试验标配神器!赫兹电力ZGF系列直流高压发生器,轻便精准、安全耐用—赫兹电力高压试验设备
- 4一机搞定所有隐患!赫兹电力HZJF-8008S三合一局放巡检仪,重塑电力智能巡检新标准
- 52025局放巡检仪厂家排名更新|别再乱买!电力人专属选型避坑指南
- 6武汉赫兹电力无局放耐压测试系统在电力检测中的核心优势与应用价值
- 72026无局放耐压试验装置厂家排名&价格对比!武汉赫兹电力凭实力领跑
- 8告别漏判误判!无局放试验装置,认准这家国产源头厂家—武汉赫兹电力
- 9无局放串联谐振哪家好?武汉赫兹电力,用硬核技术领跑高压检测赛道
- 10中国智造护航电力安全|武汉赫兹电力无局放耐压试验装置,精准排查绝缘隐患
串联谐振原理_串联谐振的产生
发布时间:2023-03-04 10:25:04人气:
串联谐振原理_串联谐振的产生
本篇赫兹电力将和大家讨论串联谐振原理,并分析串联谐振现象的一些特征,探索串联谐振现象的一些基本规律,以便在应用中能更自如的使用串联谐振和分析在试验过程中发生的一些现象。
串联谐振的产生
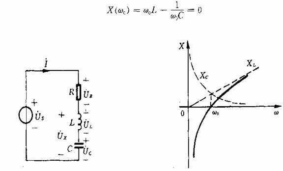
谐振是由R、L、C元件组成的电路在一定条件下发生的一种特殊现象。首先,我们来分析R、L、C串联电路发生谐振的条件和谐振时电路的特性。图1所示R、L、C串联电路,在正弦电压U作用下,其复阻抗:
本篇赫兹电力将和大家讨论串联谐振原理,并分析串联谐振现象的一些特征,探索串联谐振现象的一些基本规律,以便在应用中能更自如的使用串联谐振和分析在试验过程中发生的一些现象。
串联谐振的产生
谐振是由R、L、C元件组成的电路在一定条件下发生的一种特殊现象。首先,我们来分析R、L、C串联电路发生谐振的条件和谐振时电路的特性。图1所示R、L、C串联电路,在正弦电压U作用下,其复阻抗:
式中电抗X=XL—Xc是角频率ω的函数,X随ω变化的情况如图2所示。当ω从零开始向∞变化时,X从﹣∞向﹢∞变化,在ω<ω0时、X<0,电路为容性;在ω>ω0时,X>0,电路为感性;在ω=ω0时
此时电路阻抗Z(ω0)=R为纯电阻。电压和电流同相,我们将电路此时的工作状态称为谐振。由于这种谐振发生在R、L、C串联电路中,所以又称为串联谐振。式1就是串联电路发生谐振的条件。由此式可求得谐振角频率ω0如下:
谐振频率为





